Robotics/제어

근궤적법(root-locus method)_1

Jeonggeun 2019. 1. 1. 14:45
728x90

 

 

   

  

< Ep.1 유투브 영상 링크 1 >                                                           < Ep.2 유투브 영상 링크 2 >

 

  제어 시스템의 시간 응답은 폐루프 전달함수를 역라플라스 변환하여 얻을 수 있다. 제어 시스템이 안정하려면 폐루프 극점(특성방정식의 근)이 복소평면의 좌평면에 위치해야 한다. 우평면에 위치할 경우 역라플라스 변화을 했을 때, 지수부분이 양수가 되어 발산하기 때문이다. (허수축에 위치할 때에는 계속 진동)
3차 이상의 특성방정식의 근을 구하는 것은 어렵고 지루한 일이기 때문에, 일반적으로 컴퓨터(매틀랩)을 이용하여 계산한다. 하지만 특성방정식의 근을 구하는 것은 크게 의미가 없다. 왜냐하면 개루프 전달함수의 이득(K)이 변하면 특성방정식의 근을 다시 구해야 하기 때문이다.
  하지만 다행이도 1948년 W. R. Evans 라는 사람이 시스템 파라미터 값(K)의 변화에 따라 특성방정식의 근을 복소평면에 그려 시스템의 안정도와 성능을 알 수 있는 근궤적법(root-locus method)를 개발하였다. 즉, 근궤적법은 특성방적식의 근을 풀지않고, s-plane(복소평면)위에 폐루프 전달함수의 개루프전달함수의 K를 0~(무한대)까지 변화시켜, K의 값에 따른 특성방정식의 근의 위치변화(궤적)를 통해 시스템을 해석 또는 설계하는 방법이다. 따라서 매번 특성방적식의 근을 계산할 필요가 없어졌다.
 

 

 
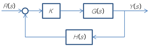
<폐루프 제어시스템의 블록선도>
 
위의 시스템의 폐루프 전달함수는
 

 

 

 
 
 
특성방정식은
 

 

 
개루프 전달함수는
 
 
여기서 특성방정식을 다음과 같이 특성방정식의 극점(D(s))과 영점(N(s))으로 표현할 수 있다.
 
 

 

특성방정식의 근의 위치는 K=0 일때, D(s)의 근이 되고, K=(무한대)일 때는 N(s)의 근이 된다. 즉, K=0~(무한대)로 변할 때, 특성방정식의 근은 극점을 출발하여 영점에 도달한다. 이러한 근의 궤적을 관찰하여 근이 복소평면의 우반평면에 위치하면 불안정, 허수축에 위치하면 임계안정, 그리고 좌반평면에 위치하면 시스템이 안정하다고 판별한다.
 
 
 
 
 
< 각도조건과 크기조건 >
 
 
폐루프 전달함수
 

 

 

 

 
 
에서 특성방정식은
 

 

 

이다.
 

 

식은 다음과 같이 각도와 크기로 분리하여 나타낼 수 있다.
 
 
각도조건(angle condition)
 

 

 

 

 
 
 
크기조건(magnitude condition)
 
 

 

 
 
 
 

 

특성방정식을 두 가지의 조건으로 나눈 것이기 때문에, 결국 각도조건과 크기조건을 모두 만족시키는 값이 특성방적식의 근(폐루프 극점)이다. 그리고 각도조건만 만족시키는 점을 복소평면에 그린것이 근궤적이다.
우선 각도조건을 만족하는 근궤적선도를 그린후에, 설계조건에 맞는 폐루프 극점을 크기조건을 이용해 구한다.
 

반응형